Rette...

Ricordiamo brevemente come possono essere rappresentate le rette nel piano:

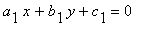
1) mediante un'equazione cartesiana

a*x+b*y+c = 0

con a e b non entrambi nulli;

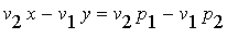
2) mediante equazioni parametriche : se P[0] = (p[1], p[2]) č un punto del piano e v = (v[1], v[2]) č un vettore non nullo, la retta passante per P[0] e con direzione v č costituita dai punti

P(t) = ((x(t), y(t)) = (p[1]+t*v[1], p[2]+t*v[2])) , al variare del parametro reale t

Si osservi che eliminando t da x(t) = p[1]+t*v[1] e y(t) = p[2]+t*v[2] si ottiene l'equazione cartesiana v[2]*x-v[1]*y = v[2]*p[1]-v[1]*p[2] .

Dunque la retta di equazione a*x+b*y+c = 0 ha vettore direzione v = (-b, a) (oppure v = (b, -a) ) e vettore normale n = (a, b) : il prodotto scalare v . n si annulla.

L' angolo theta tra due rette r : a*x+b*y+c = 0 e r[1] : a[1]*x+b[1]*y+c[1] = 0 con direzioni rispettivamente v = (-b, a) e w = (-b[1], a[1]) e normali n = (a, b) e m = (a[1], b[1]) č dato dalla formula

v . w = abs(v)*abs(w)*cos(theta) , da cui cos(theta) = (a*a[1]+b*b[1])/(sqrt(a^2+b^2)*sqrt(a[...

Le rette quindi sono parallele se e solo se i prodotti scalari v.m e w.n si annullano, cioč se a*b[1] = a[1]*b , mentre le rette sono ortogonali se e solo se i prodotti scalari v.w e n.m sono nulli, cioč a*a[1]+b*b[1] = 0 .